Problem 9.1
习题 9.1
来源: 第9章, PDF第312页
9.1 Scalar QED. This problem concerns the theory of a complex scalar field interacting with the electromagnetic field . The Lagrangian is
where is the usual gauge-covariant derivative.
(a) Use the functional method of Section 9.2 to show that the propagator of the complex scalar field is the same as that of a real field:

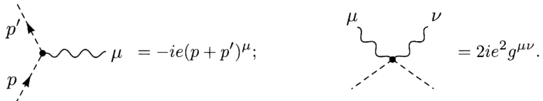
Also derive the Feynman rules for the interactions between photons and scalar particles; you should find

(b) Compute, to lowest order, the differential cross section for . Ignore the electron mass (but not the scalar particle's mass), and average over the electron and positron polarizations. Find the asymptotic angular dependence and total cross section. Compare your results to the corresponding formulae for .
(c) Compute the contribution of the charged scalar to the photon vacuum polarization, using dimensional regularization. Note that there are two diagrams. To put the answer into the expected form,
it is useful to add the two diagrams at the beginning, putting both terms over a common denominator before introducing a Feynman parameter. Show that, for , the charged boson contribution to is exactly 1/4 that of a virtual electron-positron pair.
习题 9.1 - 解答
习题 9.1 分析与解答
(a) 标量场的传播子与费曼规则
标量 QED 的拉格朗日量为: 其中协变导数 。展开标量场的动能项: 自由标量场的拉格朗日量为 。在作用量中分部积分,可将其写为: 复标量场的传播子是算符 的逆。在动量空间中,,算符变为 。引入 Feynman 处方 以处理极点,得到复标量场的传播子(与实标量场相同,但带有表示电荷流向的箭头):
相互作用拉格朗日量为 。 对于三点顶点(一个光子,一个标量,一个反标量),考虑作用量 。设入射标量粒子动量为 ,出射标量粒子动量为 (等价于入射反粒子动量为 )。在动量空间中,导数作用于场产生动量因子:,。提取 的系数并乘以 ,得到顶点规则: 对于四点顶点(两个光子,一个标量,一个反标量),考虑作用量 。由于有两个相同的光子场 和 ,在泛函求导或 Wick 展开时会产生一个对称因子 2。顶点规则为:
(b) 的微分散射截面
在最低阶(树图阶),该过程通过 沟道光子交换进行。设电子和正电子的动量分别为 ,出射标量和反标量的动量分别为 。忽略电子质量。散射振幅为: 其中 ,且 。注意标量顶点中,出射 对应动量 ,出射 对应入射动量 ,故顶点因子为 。 对初始自旋求平均并对末态求和,振幅平方为: 计算迹 ,并令 ,得到: 在质心系中,设束流能量为 (),标量粒子速度为 。运动学变量为: , , ,其中 , 设 为出射标量粒子与入射电子束的夹角,则 ,,。代入上式: 微分散射截面为: 总截面为: 比较: 对于 ,渐近微分散射截面()正比于 ,而标量 QED 中正比于 。这是因为标量对产生时沿束流方向的角动量投影为零,为了守恒光子的自旋角动量,必须有轨道角动量贡献,导致前向和后向散射为零。渐近总截面 ,标量 QED 的结果 恰好是其 。
(c) 光子真空极化
标量场对光子真空极化 有两个单圈图贡献:
- 包含两个三点顶点的圈图:
- 包含一个四点顶点的圈图: 为了合并分母,利用积分变量的平移不变性,将 写为对称形式: 因此 。将两项相加: 引入 Feynman 参数 ,分母变为 。令 ,则 ,其中 。 将分子用 表达并丢弃 的奇数次项: 分子 在维数正规化下,用 替换 : 计算 项中包含 的积分: 利用 ,该项变为 。 将所有 的系数合并,提取公因子 ,括号内剩余: 因此,积分结果自然给出了横向结构: 由此得到 : 对于 ,重整化后的真空极化函数 的渐近行为由对数项主导: 对于旋量 QED(虚电子-正电子对),相应的渐近结果为: 比较两者比例: 这证明了带电标量玻色子的贡献恰好是虚电子-正电子对贡献的 1/4。