4.1

Problem 4.1

peskinChapter 4

习题 4.1

来源: 第4章, PDF第126,127页


4.1 Let us return to the problem of the creation of Klein-Gordon particles by a classical source. Recall from Chapter 2 that this process can be described by the Hamiltonian

H=H0+d3x(j(t,x)ϕ(x)),H = H_0 + \int d^3x (-j(t, \mathbf{x})\phi(x)),

where H0H_0 is the free Klein-Gordon Hamiltonian, ϕ(x)\phi(x) is the Klein-Gordon field, and j(x)j(x) is a c-number scalar function. We found that, if the system is in the vacuum state before the source is turned on, the source will create a mean number of particles

N=d3p(2π)312Epj~(p)2.\langle N \rangle = \int \frac{d^3p}{(2\pi)^3} \frac{1}{2E_{\mathbf{p}}} |\tilde{j}(p)|^2.

In this problem we will verify that statement, and extract more detailed information, by using a perturbation expansion in the strength of the source.

(a) Show that the probability that the source creates no particles is given by

P(0)=0T{exp[id4xj(x)ϕI(x)]}02.P(0) = \left| \langle 0 | T \left\{ \exp \left[ i \int d^4x j(x) \phi_I(x) \right] \right\} | 0 \rangle \right|^2.

(b) Evaluate the term in P(0)P(0) of order j2j^2, and show that P(0)=1λ+O(j4)P(0) = 1 - \lambda + \mathcal{O}(j^4), where λ\lambda equals the expression given above for N\langle N \rangle.

(c) Represent the term computed in part (b) as a Feynman diagram. Now represent the whole perturbation series for P(0)P(0) in terms of Feynman diagrams. Show that this series exponentiates, so that it can be summed exactly: P(0)=exp(λ)P(0) = \exp(-\lambda).

(d) Compute the probability that the source creates one particle of momentum kk. Perform this computation first to O(j)\mathcal{O}(j) and then to all orders, using the trick of part (c) to sum the series.

(e) Show that the probability of producing nn particles is given by

P(n)=(1/n!)λnexp(λ).P(n) = (1/n!) \lambda^n \exp(-\lambda).

This is a Poisson distribution.

(f) Prove the following facts about the Poisson distribution:

n=0P(n)=1;N=n=0nP(n)=λ.\sum_{n=0}^{\infty} P(n) = 1; \quad \langle N \rangle = \sum_{n=0}^{\infty} n P(n) = \lambda.

The first identity says that the P(n)P(n)'s are properly normalized probabilities, while the second confirms our proposal for N\langle N \rangle. Compute the mean square fluctuation (NN)2\langle (N - \langle N \rangle)^2 \rangle.

习题 4.1 - 解答


习题 4.1 分析与解答

(a) 证明源不产生粒子的概率为 P(0)=0T{exp[id4xj(x)ϕI(x)]}02P(0) = \left| \langle 0 | T \left\{ \exp \left[ i \int d^4x j(x) \phi_I(x) \right] \right\} | 0 \rangle \right|^2

分析与推导: 在相互作用绘景中,系统的相互作用哈密顿量为 HI(t)=d3xj(t,x)ϕI(x)H_I(t) = -\int d^3x j(t, \mathbf{x})\phi_I(x)。 系统从 tt \to -\infty 演化到 tt \to \infty 的时间演化算符为:

UI(,)=Texp(idtHI(t))=Texp(id4xj(x)ϕI(x))U_I(\infty, -\infty) = T \exp\left( -i \int_{-\infty}^{\infty} dt H_I(t) \right) = T \exp\left( i \int d^4x j(x) \phi_I(x) \right)

假设系统在源开启前(tt \to -\infty)处于真空态 0|0\rangle,那么在源关闭后(tt \to \infty),系统仍然保持在真空态(即不产生任何粒子)的跃迁振幅为 0UI(,)0\langle 0 | U_I(\infty, -\infty) | 0 \rangle。 概率是跃迁振幅的绝对值平方,因此:

P(0)=0T{exp[id4xj(x)ϕI(x)]}02\boxed{ P(0) = \left| \langle 0 | T \left\{ \exp \left[ i \int d^4x j(x) \phi_I(x) \right] \right\} | 0 \rangle \right|^2 }

(b) 计算 P(0)P(0)O(j2)\mathcal{O}(j^2) 的项,并证明 P(0)=1λ+O(j4)P(0) = 1 - \lambda + \mathcal{O}(j^4)

分析与推导: 将时间演化算符展开到 jj 的二阶:

UI=1+id4xj(x)ϕI(x)12d4xd4yj(x)j(y)T{ϕI(x)ϕI(y)}+O(j3)U_I = 1 + i \int d^4x j(x) \phi_I(x) - \frac{1}{2} \int d^4x d^4y j(x) j(y) T\{\phi_I(x) \phi_I(y)\} + \mathcal{O}(j^3)

取真空期望值,由于 0ϕI(x)0=0\langle 0 | \phi_I(x) | 0 \rangle = 0,线性项消失。二阶项包含费曼传播子 DF(xy)=0T{ϕI(x)ϕI(y)}0D_F(x-y) = \langle 0 | T\{\phi_I(x) \phi_I(y)\} | 0 \rangle

0UI0=112d4xd4yj(x)j(y)DF(xy)+O(j4)1+A+O(j4)\langle 0 | U_I | 0 \rangle = 1 - \frac{1}{2} \int d^4x d^4y j(x) j(y) D_F(x-y) + \mathcal{O}(j^4) \equiv 1 + A + \mathcal{O}(j^4)

其中 A=12d4xd4yj(x)j(y)DF(xy)A = - \frac{1}{2} \int d^4x d^4y j(x) j(y) D_F(x-y)。 概率 P(0)=1+A2=1+2Re(A)+O(j4)P(0) = |1 + A|^2 = 1 + 2\text{Re}(A) + \mathcal{O}(j^4)。我们来计算 AA

A=12d4xd4yj(x)j(y)d4p(2π)4ip2m2+iϵeip(xy)=i2d4p(2π)4j~(p)j~(p)p2m2+iϵA = - \frac{1}{2} \int d^4x d^4y j(x) j(y) \int \frac{d^4p}{(2\pi)^4} \frac{i}{p^2 - m^2 + i\epsilon} e^{-ip \cdot (x-y)} = - \frac{i}{2} \int \frac{d^4p}{(2\pi)^4} \frac{\tilde{j}(p)\tilde{j}(-p)}{p^2 - m^2 + i\epsilon}

因为 j(x)j(x) 是实函数,所以 j~(p)=j~(p)\tilde{j}(-p) = \tilde{j}^*(p),从而 j~(p)j~(p)=j~(p)2\tilde{j}(p)\tilde{j}(-p) = |\tilde{j}(p)|^2。利用恒等式 1x+iϵ=P1xiπδ(x)\frac{1}{x + i\epsilon} = \mathcal{P}\frac{1}{x} - i\pi \delta(x),提取 AA 的实部:

Re(A)=12d4p(2π)4j~(p)2πδ(p2m2)\text{Re}(A) = - \frac{1}{2} \int \frac{d^4p}{(2\pi)^4} |\tilde{j}(p)|^2 \pi \delta(p^2 - m^2)

利用 δ(p2m2)=12Ep[δ(p0Ep)+δ(p0+Ep)]\delta(p^2 - m^2) = \frac{1}{2E_{\mathbf{p}}} \left[ \delta(p^0 - E_{\mathbf{p}}) + \delta(p^0 + E_{\mathbf{p}}) \right],对 p0p^0 积分:

Re(A)=14d3p(2π)312Ep(j~(Ep,p)2+j~(Ep,p)2)\text{Re}(A) = - \frac{1}{4} \int \frac{d^3p}{(2\pi)^3} \frac{1}{2E_{\mathbf{p}}} \left( |\tilde{j}(E_{\mathbf{p}}, \mathbf{p})|^2 + |\tilde{j}(-E_{\mathbf{p}}, \mathbf{p})|^2 \right)

由于 j(x)j(x) 为实,j~(Ep,p)2=j~(Ep,p)2|\tilde{j}(-E_{\mathbf{p}}, \mathbf{p})|^2 = |\tilde{j}(E_{\mathbf{p}}, -\mathbf{p})|^2。在第二项中作变量代换 pp\mathbf{p} \to -\mathbf{p},两项贡献相等,因此:

Re(A)=12d3p(2π)312Epj~(Ep,p)2=12λ\text{Re}(A) = - \frac{1}{2} \int \frac{d^3p}{(2\pi)^3} \frac{1}{2E_{\mathbf{p}}} |\tilde{j}(E_{\mathbf{p}}, \mathbf{p})|^2 = - \frac{1}{2} \lambda

代入概率公式得到:

P(0)=1λ+O(j4)\boxed{ P(0) = 1 - \lambda + \mathcal{O}(j^4) }

(c) 用费曼图表示微扰级数,并证明 P(0)=exp(λ)P(0) = \exp(-\lambda)

分析与推导: (b) 中计算的项 AA 可以用一个费曼图表示:两个源(用叉号表示)通过一条标量传播子内线连接。 对于真空到真空的跃迁振幅 0UI0\langle 0 | U_I | 0 \rangle,完整的微扰级数是所有真空图的总和。由于相互作用哈密顿量对场 ϕ\phi 是线性的,唯一连通的真空图就是 AA(两个源相连)。 根据不连通图的指数化定理(Linked Cluster Theorem),所有真空图的总和等于连通真空图之和的指数:

0UI0=exp(A)\langle 0 | U_I | 0 \rangle = \exp(A)

因此,不产生粒子的概率为:

P(0)=exp(A)2=exp(A+A)=exp(2Re(A))=exp(λ)\boxed{ P(0) = |\exp(A)|^2 = \exp(A + A^*) = \exp(2\text{Re}(A)) = \exp(-\lambda) }

(d) 计算源产生一个动量为 kk 的粒子的概率

分析与推导: 产生一个动量为 kk 的粒子的跃迁振幅为 M(k)=kUI0\mathcal{M}(\mathbf{k}) = \langle \mathbf{k} | U_I | 0 \rangleO(j)\mathcal{O}(j) 阶:

UI1+id4xj(x)ϕI(x)U_I \approx 1 + i \int d^4x j(x) \phi_I(x)

利用 kϕI(x)0=eikx\langle \mathbf{k} | \phi_I(x) | 0 \rangle = e^{ik \cdot x}(其中 k0=Ekk^0 = E_{\mathbf{k}}),振幅为:

M(k)=id4xj(x)eikx=ij~(k)\mathcal{M}(\mathbf{k}) = i \int d^4x j(x) e^{ik \cdot x} = i \tilde{j}(k)

对应的微分概率(相空间密度)为:

dP1(k)=d3k(2π)32Ekj~(k)2\boxed{ dP_1(\mathbf{k}) = \frac{d^3k}{(2\pi)^3 2E_{\mathbf{k}}} |\tilde{j}(k)|^2 }

到全阶: 利用 Wick 定理,时间演化算符可以写为正规序与真空图的乘积:

UI=:exp(id4xj(x)ϕI(x)):exp(A)U_I = : \exp\left( i \int d^4x j(x) \phi_I(x) \right) : \exp(A)

由于单粒子态 k\langle \mathbf{k} | 只能与正规序中包含一个 ϕ\phi 的项发生非零收缩,振幅变为:

M(k)=kid4xj(x)ϕI(x)0exp(A)=ij~(k)exp(A)\mathcal{M}(\mathbf{k}) = \langle \mathbf{k} | i \int d^4x j(x) \phi_I(x) | 0 \rangle \exp(A) = i \tilde{j}(k) \exp(A)

取绝对值平方并乘上相空间因子,得到全阶的微分概率:

dP1(k)=d3k(2π)32Ekj~(k)2eλ\boxed{ dP_1(\mathbf{k}) = \frac{d^3k}{(2\pi)^3 2E_{\mathbf{k}}} |\tilde{j}(k)|^2 e^{-\lambda} }

(e) 证明产生 nn 个粒子的概率为 P(n)=(1/n!)λnexp(λ)P(n) = (1/n!) \lambda^n \exp(-\lambda)

分析与推导: 产生 nn 个动量分别为 k1,,knk_1, \dots, k_n 的粒子的振幅为:

M(k1,,kn)=k1,,kn:exp(id4xj(x)ϕI(x)):0exp(A)\mathcal{M}(\mathbf{k}_1, \dots, \mathbf{k}_n) = \langle \mathbf{k}_1, \dots, \mathbf{k}_n | : \exp\left( i \int d^4x j(x) \phi_I(x) \right) : | 0 \rangle \exp(A)

正规序展开中只有包含 nnϕ\phi 场的项 inn!:(jϕ)n:\frac{i^n}{n!} : (\int j \phi)^n : 有贡献。由于 nn 个全同玻色子态的对称性,收缩会产生 n!n! 的组合因子,因此:

M(k1,,kn)=inj~(k1)j~(kn)exp(A)\mathcal{M}(\mathbf{k}_1, \dots, \mathbf{k}_n) = i^n \tilde{j}(k_1) \dots \tilde{j}(k_n) \exp(A)

产生 nn 个粒子的总概率需要对所有粒子的相空间进行积分,并除以 n!n!(全同粒子相空间因子):

P(n)=1n!d3k1(2π)32E1d3kn(2π)32EnM(k1,,kn)2P(n) = \frac{1}{n!} \int \frac{d^3k_1}{(2\pi)^3 2E_1} \dots \frac{d^3k_n}{(2\pi)^3 2E_n} |\mathcal{M}(\mathbf{k}_1, \dots, \mathbf{k}_n)|^2

将振幅代入并分离积分:

P(n)=1n!(d3k(2π)32Ekj~(k)2)nexp(A)2P(n) = \frac{1}{n!} \left( \int \frac{d^3k}{(2\pi)^3 2E_{\mathbf{k}}} |\tilde{j}(k)|^2 \right)^n |\exp(A)|^2

识别出括号内的积分为 λ\lambda,且 exp(A)2=exp(λ)|\exp(A)|^2 = \exp(-\lambda),即得泊松分布:

P(n)=1n!λnexp(λ)\boxed{ P(n) = \frac{1}{n!} \lambda^n \exp(-\lambda) }

(f) 证明泊松分布的性质并计算均方涨落

分析与推导:

  1. 归一化:
n=0P(n)=n=0λnn!eλ=eλeλ=1\sum_{n=0}^{\infty} P(n) = \sum_{n=0}^{\infty} \frac{\lambda^n}{n!} e^{-\lambda} = e^{\lambda} e^{-\lambda} = \boxed{ 1 }
  1. 平均粒子数 N\langle N \rangle
N=n=0nP(n)=n=1nλnn!eλ=λeλn=1λn1(n1)!=λeλeλ=λ\langle N \rangle = \sum_{n=0}^{\infty} n P(n) = \sum_{n=1}^{\infty} n \frac{\lambda^n}{n!} e^{-\lambda} = \lambda e^{-\lambda} \sum_{n=1}^{\infty} \frac{\lambda^{n-1}}{(n-1)!} = \lambda e^{-\lambda} e^{\lambda} = \boxed{ \lambda }
  1. 均方涨落 (NN)2\langle (N - \langle N \rangle)^2 \rangle 首先计算 N2\langle N^2 \rangle
N2=n=0n2P(n)=n=1(n(n1)+n)λnn!eλ\langle N^2 \rangle = \sum_{n=0}^{\infty} n^2 P(n) = \sum_{n=1}^{\infty} (n(n-1) + n) \frac{\lambda^n}{n!} e^{-\lambda}
=λ2eλn=2λn2(n2)!+n=1nλnn!eλ=λ2+λ= \lambda^2 e^{-\lambda} \sum_{n=2}^{\infty} \frac{\lambda^{n-2}}{(n-2)!} + \sum_{n=1}^{\infty} n \frac{\lambda^n}{n!} e^{-\lambda} = \lambda^2 + \lambda

因此,均方涨落为:

(NN)2=N2N2=(λ2+λ)λ2=λ\langle (N - \langle N \rangle)^2 \rangle = \langle N^2 \rangle - \langle N \rangle^2 = (\lambda^2 + \lambda) - \lambda^2 = \boxed{ \lambda }
4.2

Problem 4.2

peskinChapter 4

习题 4.2

来源: 第4章, PDF第127页


4.2 Decay of a scalar particle. Consider the following Lagrangian, involving two real scalar fields Φ\Phi and ϕ\phi:

L=12(μΦ)212M2Φ2+12(μϕ)212m2ϕ2μΦϕϕ.\mathcal{L} = \frac{1}{2}(\partial_{\mu} \Phi)^2 - \frac{1}{2} M^2 \Phi^2 + \frac{1}{2}(\partial_{\mu} \phi)^2 - \frac{1}{2} m^2 \phi^2 - \mu \Phi \phi \phi.

The last term is an interaction that allows a Φ\Phi particle to decay into two ϕ\phi's, provided that M>2mM > 2m. Assuming that this condition is met, calculate the lifetime of the Φ\Phi to lowest order in μ\mu.

习题 4.2 - 解答


习题分析: 本题要求计算标量粒子 Φ\Phi 衰变为两个相同标量粒子 ϕ\phi 的寿命(最低阶近似)。已知拉格朗日量中包含相互作用项 Lint=μΦϕ2\mathcal{L}_{\text{int}} = -\mu \Phi \phi^2。我们需要通过费曼规则写出衰变的跃迁矩阵元 M\mathcal{M},然后利用两体衰变相空间公式计算衰变率 Γ\Gamma,最后取倒数得到寿命 τ\tau

解题过程:

  1. 确定费曼规则与矩阵元 从拉格朗日量中提取相互作用项:
Lint=μΦϕϕ=μΦϕ2\mathcal{L}_{\text{int}} = -\mu \Phi \phi \phi = -\mu \Phi \phi^2

在计算 Φ(p)ϕ(k1)+ϕ(k2)\Phi(p) \to \phi(k_1) + \phi(k_2) 的跃迁矩阵元时,由于末态有两个相同的 ϕ\phi 场,算符 ϕ2\phi^2 作用在真空态上会产生两种不同的收缩方式(即产生 2 的组合因子)。因此,该顶点的费曼规则为 2iμ-2i\mu。 由此可得最低阶的不变矩阵元 M\mathcal{M} 为:

iM=2iμ    M=2μi\mathcal{M} = -2i\mu \implies \mathcal{M} = -2\mu

矩阵元模的平方为:

M2=4μ2|\mathcal{M}|^2 = 4\mu^2
  1. 两体衰变相空间积分Φ\Phi 粒子的静止参考系中,其四维动量为 p=(M,0)p = (M, \mathbf{0})。末态两个 ϕ\phi 粒子的动量分别为 k1=(E1,k)k_1 = (E_1, \mathbf{k})k2=(E2,k)k_2 = (E_2, -\mathbf{k})。 两体相空间积分定义为:
dΠ2=d3k1(2π)32E1d3k2(2π)32E2(2π)4δ(4)(pk1k2)\int d\Pi_2 = \int \frac{d^3k_1}{(2\pi)^3 2E_1} \frac{d^3k_2}{(2\pi)^3 2E_2} (2\pi)^4 \delta^{(4)}(p - k_1 - k_2)

利用三维动量的 δ\delta 函数积掉 k2\mathbf{k}_2,此时 E1=E2=k2+m2E_1 = E_2 = \sqrt{|\mathbf{k}|^2 + m^2}

dΠ2=1(2π)2d3k4E12δ(M2E1)\int d\Pi_2 = \frac{1}{(2\pi)^2} \int \frac{d^3k}{4E_1^2} \delta(M - 2E_1)

将体积元写为球坐标形式 d3k=k2dkdΩd^3k = |\mathbf{k}|^2 d|\mathbf{k}| d\Omega,并利用色散关系 E1dE1=kdkE_1 dE_1 = |\mathbf{k}| d|\mathbf{k}|,对立体角 dΩd\Omega 积分得到 4π4\pi

dΠ2=4π4π2kE1dE14E12δ(M2E1)=1πk4E1δ(M2E1)dE1\int d\Pi_2 = \frac{4\pi}{4\pi^2} \int \frac{|\mathbf{k}| E_1 dE_1}{4E_1^2} \delta(M - 2E_1) = \frac{1}{\pi} \int \frac{|\mathbf{k}|}{4E_1} \delta(M - 2E_1) dE_1

利用 δ\delta 函数的性质 δ(M2E1)=12δ(E1M/2)\delta(M - 2E_1) = \frac{1}{2}\delta(E_1 - M/2),积分得到:

dΠ2=1πk4(M/2)12=k4πM\int d\Pi_2 = \frac{1}{\pi} \frac{|\mathbf{k}|}{4(M/2)} \frac{1}{2} = \frac{|\mathbf{k}|}{4\pi M}

由能量守恒 E1=M/2E_1 = M/2,可求得末态粒子的动量大小:

k=E12m2=M24m2=M214m2M2|\mathbf{k}| = \sqrt{E_1^2 - m^2} = \sqrt{\frac{M^2}{4} - m^2} = \frac{M}{2}\sqrt{1 - \frac{4m^2}{M^2}}

代入相空间积分式中:

dΠ2=18π14m2M2\int d\Pi_2 = \frac{1}{8\pi} \sqrt{1 - \frac{4m^2}{M^2}}
  1. 计算衰变率与寿命 对于 121 \to 2 衰变过程,衰变率 Γ\Gamma 的一般公式为:
Γ=12M1SM2dΠ2\Gamma = \frac{1}{2M} \frac{1}{S} \int |\mathcal{M}|^2 d\Pi_2

其中 SS 为末态全同粒子的统计对称因子。由于末态是两个相同的 ϕ\phi 粒子,在对全立体角积分时会发生重复计数,故需要除以对称因子 S=2!=2S = 2! = 2。 将前面求得的物理量代入公式:

Γ=12M12(4μ2)18π14m2M2=μ28πM14m2M2\Gamma = \frac{1}{2M} \cdot \frac{1}{2} \cdot (4\mu^2) \cdot \frac{1}{8\pi} \sqrt{1 - \frac{4m^2}{M^2}} = \frac{\mu^2}{8\pi M} \sqrt{1 - \frac{4m^2}{M^2}}

粒子 Φ\Phi 的寿命 τ\tau 是衰变率的倒数:

τ=1Γ=8πMμ214m2M2\tau = \frac{1}{\Gamma} = \frac{8\pi M}{\mu^2 \sqrt{1 - \frac{4m^2}{M^2}}}

最终结果为:

τ=8πMμ214m2M2\boxed{\tau = \frac{8\pi M}{\mu^2 \sqrt{1 - \frac{4m^2}{M^2}}}}
4.3

Problem 4.3

peskinChapter 4

习题 4.3

来源: 第4章, PDF第127,128,129页


4.3 Linear sigma model. The interactions of pions at low energy can be described by a phenomenological model called the linear sigma model. Essentially, this model consists of NN real scalar fields coupled by a ϕ4\phi^4 interaction that is symmetric under rotations of the NN fields. More specifically, let Φi(x)\Phi^i(x), i=1,,Ni = 1, \dots, N be a set of NN fields, governed by the Hamiltonian

H=d3x(12(Πi)2+12(Φi)2+V(Φ2)),H = \int d^3x \left( \frac{1}{2}(\Pi^i)^2 + \frac{1}{2}(\nabla \Phi^i)^2 + V(\Phi^2) \right),

where (Φi)2=ΦΦ(\Phi^i)^2 = \mathbf{\Phi} \cdot \mathbf{\Phi}, and

V(Φ2)=12m2(Φi)2+λ4((Φi)2)2V(\Phi^2) = \frac{1}{2} m^2 (\Phi^i)^2 + \frac{\lambda}{4} ((\Phi^i)^2)^2

is a function symmetric under rotations of Φ\mathbf{\Phi}. For (classical) field configurations of Φi(x)\Phi^i(x) that are constant in space and time, this term gives the only contribution to HH; hence, VV is the field potential energy.

(What does this Hamiltonian have to do with the strong interactions? There are two types of light quarks, uu and dd. These quarks have identical strong interactions, but different masses. If these quarks are massless, the Hamiltonian of the strong interactions is invariant to unitary transformations of the 2-component object (u,d)(u, d):

(ud)exp(iασ/2)(ud).\begin{pmatrix} u \\ d \end{pmatrix} \rightarrow \exp(i \mathbf{\alpha} \cdot \mathbf{\sigma} / 2) \begin{pmatrix} u \\ d \end{pmatrix}.

This transformation is called an isospin rotation. If, in addition, the strong interactions are described by a vector "gluon" field (as is true in QCD), the strong interaction Hamiltonian is invariant to the isospin rotations done separately on the left-handed and right-handed components of the quark fields. Thus, the complete symmetry of QCD with two massless quarks is SU(2)×SU(2)SU(2) \times SU(2). It happens that SO(4)SO(4), the group of rotations in 4 dimensions, is isomorphic to SU(2)×SU(2)SU(2) \times SU(2), so for N=4N = 4, the linear sigma model has the same symmetry group as the strong interactions.)

(a) Analyze the linear sigma model for m2>0m^2 > 0 by noticing that, for λ=0\lambda = 0, the Hamiltonian given above is exactly NN copies of the Klein-Gordon Hamiltonian. We can then calculate scattering amplitudes as perturbation series in the parameter λ\lambda. Show that the propagator is

Wick contraction formula for the propagator

where DFD_F is the standard Klein-Gordon propagator for mass mm, and that there is one type of vertex given by

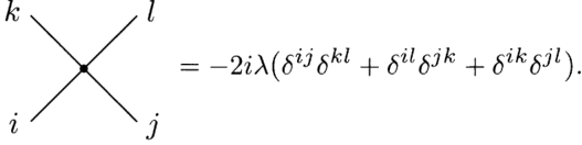
Feynman diagram vertex rule with indices

(That is, the vertex between two Φ1\Phi^1s and two Φ2\Phi^2s has the value (2iλ)(-2i\lambda); that between four Φ1\Phi^1s has the value (6iλ)(-6i\lambda).) Compute, to leading order in λ\lambda, the differential cross sections dσ/dΩd\sigma/d\Omega, in the center-of-mass frame, for the scattering processes

Φ1Φ2Φ1Φ2,Φ1Φ1Φ2Φ2,andΦ1Φ1Φ1Φ1\Phi^1 \Phi^2 \rightarrow \Phi^1 \Phi^2, \quad \Phi^1 \Phi^1 \rightarrow \Phi^2 \Phi^2, \quad \text{and} \quad \Phi^1 \Phi^1 \rightarrow \Phi^1 \Phi^1

as functions of the center-of-mass energy.

(b) Now consider the case m2<0m^2 < 0: m2=μ2m^2 = -\mu^2. In this case, VV has a local maximum, rather than a minimum, at Φi=0\Phi^i = 0. Since VV is a potential energy, this implies that the ground state of the theory is not near Φi=0\Phi^i = 0 but rather is obtained by shifting Φi\Phi^i toward the minimum of VV. By rotational invariance, we can consider this shift to be in the NNth direction. Write, then,

Φi(x)=πi(x),i=1,,N1,ΦN(x)=v+σ(x),\begin{aligned} \Phi^i(x) &= \pi^i(x), \quad i = 1, \dots, N - 1, \\ \Phi^N(x) &= v + \sigma(x), \end{aligned}

where vv is a constant chosen to minimize VV. (The notation πi\pi^i suggests a pion field and should not be confused with a canonical momentum.) Show that, in these new coordinates (and substituting for vv its expression in terms of λ\lambda and μ\mu), we have a theory of a massive σ\sigma field and N1N - 1 massless pion fields, interacting through cubic and quartic potential energy terms which all become small as λ0\lambda \rightarrow 0. Construct the Feynman rules by assigning values to the propagators and vertices:

Feynman rules for propagators and vertices in the shifted sigma model

(c) Compute the scattering amplitude for the process

πi(p1)πj(p2)πk(p3)πl(p4)\pi^i(p_1) \pi^j(p_2) \rightarrow \pi^k(p_3) \pi^l(p_4)

to leading order in λ\lambda. There are now four Feynman diagrams that contribute:

Four Feynman diagrams representing contributions to a scattering process at leading order in lambda, including s, t, and u channel exchanges and a four-point contact interaction.

Show that, at threshold (pi=0\mathbf{p}_i = 0), these diagrams sum to zero. (Hint: It may be easiest to first consider the specific process π1π1π2π2\pi^1 \pi^1 \rightarrow \pi^2 \pi^2, for which only the first and fourth diagrams are nonzero, before tackling the general case.) Show that, in the special case N=2N = 2 (1 species of pion), the term of O(p2)\mathcal{O}(p^2) also cancels.

(d) Add to VV a symmetry-breaking term,

ΔV=aΦN,\Delta V = -a\Phi^N,

where aa is a (small) constant. (In QCD, a term of this form is produced if the uu and dd quarks have the same nonvanishing mass.) Find the new value of vv that minimizes VV, and work out the content of the theory about that point. Show that the pion acquires a mass such that mπ2am_\pi^2 \sim a, and show that the pion scattering amplitude at threshold is now nonvanishing and also proportional to aa.

习题 4.3 - 解答


习题 4.3 分析与解答

(a) 对称相 (m2>0m^2 > 0) 的线性 σ\sigma 模型

1. 传播子与顶点规则

λ=0\lambda = 0 时,哈密顿量描述了 NN 个独立的、质量为 mm 的 Klein-Gordon 场。自由场的拉格朗日密度为: L0=12μΦiμΦi12m2ΦiΦi\mathcal{L}_0 = \frac{1}{2} \partial_\mu \Phi^i \partial^\mu \Phi^i - \frac{1}{2} m^2 \Phi^i \Phi^i 由于各分量场相互独立,只有同种场的缩并才非零。因此,传播子为: 0TΦi(x)Φj(y)0=δijDF(xy)\langle 0 | T \Phi^i(x) \Phi^j(y) | 0 \rangle = \delta^{ij} D_F(x-y) 其中 DF(xy)D_F(x-y) 是标准的标量场传播子。

相互作用拉格朗日密度为: Lint=Vint=λ4(ΦiΦi)2=λ4a,bΦaΦaΦbΦb\mathcal{L}_{\text{int}} = -V_{\text{int}} = -\frac{\lambda}{4} (\Phi^i \Phi^i)^2 = -\frac{\lambda}{4} \sum_{a,b} \Phi^a \Phi^a \Phi^b \Phi^b 为了得到四点顶点 ΦiΦjΦkΦl\Phi^i \Phi^j \Phi^k \Phi^l 的 Feynman 规则,我们对作用量求泛函导数: Vijkl=iδ4LintδΦiδΦjδΦkδΦlV^{ijkl} = i \frac{\delta^4 \mathcal{L}_{\text{int}}}{\delta \Phi^i \delta \Phi^j \delta \Phi^k \delta \Phi^l} 依次求导: δLintδΦi=λΦi(ΦaΦa)\frac{\delta \mathcal{L}_{\text{int}}}{\delta \Phi^i} = -\lambda \Phi^i (\Phi^a \Phi^a) δ2LintδΦjδΦi=λ(δijΦaΦa+2ΦiΦj)\frac{\delta^2 \mathcal{L}_{\text{int}}}{\delta \Phi^j \delta \Phi^i} = -\lambda \left( \delta^{ij} \Phi^a \Phi^a + 2\Phi^i \Phi^j \right) δ3LintδΦkδΦjδΦi=2λ(δijΦk+δikΦj+δjkΦi)\frac{\delta^3 \mathcal{L}_{\text{int}}}{\delta \Phi^k \delta \Phi^j \delta \Phi^i} = -2\lambda \left( \delta^{ij} \Phi^k + \delta^{ik} \Phi^j + \delta^{jk} \Phi^i \right) δ4LintδΦlδΦkδΦjδΦi=2λ(δijδkl+δikδjl+δilδjk)\frac{\delta^4 \mathcal{L}_{\text{int}}}{\delta \Phi^l \delta \Phi^k \delta \Phi^j \delta \Phi^i} = -2\lambda \left( \delta^{ij} \delta^{kl} + \delta^{ik} \delta^{jl} + \delta^{il} \delta^{jk} \right) 因此,顶点规则为: 2iλ(δijδkl+δikδjl+δilδjk)\boxed{ -2i\lambda (\delta^{ij} \delta^{kl} + \delta^{ik} \delta^{jl} + \delta^{il} \delta^{jk}) }

2. 散射截面计算

在质心系中,微分截面公式为 dσdΩ=M264π2Ecm2\frac{d\sigma}{d\Omega} = \frac{|\mathcal{M}|^2}{64\pi^2 E_{\text{cm}}^2}

  • 过程 Φ1Φ2Φ1Φ2\Phi^1 \Phi^2 \rightarrow \Phi^1 \Phi^2: 设初态指标为 i=1,j=2i=1, j=2,末态指标为 k=1,l=2k=1, l=2。代入顶点规则: iM=2iλ(δ12δ12+δ11δ22+δ12δ21)=2iλ(0+11+0)=2iλi\mathcal{M} = -2i\lambda (\delta^{12}\delta^{12} + \delta^{11}\delta^{22} + \delta^{12}\delta^{21}) = -2i\lambda (0 + 1\cdot 1 + 0) = -2i\lambda dσdΩ(Φ1Φ2Φ1Φ2)=λ216π2Ecm2\boxed{ \frac{d\sigma}{d\Omega}(\Phi^1 \Phi^2 \rightarrow \Phi^1 \Phi^2) = \frac{\lambda^2}{16\pi^2 E_{\text{cm}}^2} }

  • 过程 Φ1Φ1Φ2Φ2\Phi^1 \Phi^1 \rightarrow \Phi^2 \Phi^2: 设初态指标为 i=1,j=1i=1, j=1,末态指标为 k=2,l=2k=2, l=2iM=2iλ(δ11δ22+δ12δ12+δ12δ12)=2iλ(11+0+0)=2iλi\mathcal{M} = -2i\lambda (\delta^{11}\delta^{22} + \delta^{12}\delta^{12} + \delta^{12}\delta^{12}) = -2i\lambda (1\cdot 1 + 0 + 0) = -2i\lambda dσdΩ(Φ1Φ1Φ2Φ2)=λ216π2Ecm2\boxed{ \frac{d\sigma}{d\Omega}(\Phi^1 \Phi^1 \rightarrow \Phi^2 \Phi^2) = \frac{\lambda^2}{16\pi^2 E_{\text{cm}}^2} }

  • 过程 Φ1Φ1Φ1Φ1\Phi^1 \Phi^1 \rightarrow \Phi^1 \Phi^1: 所有指标均为 1,即 i=j=k=l=1i=j=k=l=1iM=2iλ(δ11δ11+δ11δ11+δ11δ11)=2iλ(1+1+1)=6iλi\mathcal{M} = -2i\lambda (\delta^{11}\delta^{11} + \delta^{11}\delta^{11} + \delta^{11}\delta^{11}) = -2i\lambda (1 + 1 + 1) = -6i\lambda dσdΩ(Φ1Φ1Φ1Φ1)=9λ216π2Ecm2\boxed{ \frac{d\sigma}{d\Omega}(\Phi^1 \Phi^1 \rightarrow \Phi^1 \Phi^1) = \frac{9\lambda^2}{16\pi^2 E_{\text{cm}}^2} }


(b) 自发对称性破缺相 (m2=μ2<0m^2 = -\mu^2 < 0)

势能变为 V(Φ2)=12μ2Φ2+λ4(Φ2)2V(\Phi^2) = -\frac{1}{2}\mu^2 \Phi^2 + \frac{\lambda}{4} (\Phi^2)^2。极小值出现在 Φ2=v2=μ2λ\Phi^2 = v^2 = \frac{\mu^2}{\lambda} 处。 按提示平移场:Φi=πi\Phi^i = \pi^i (i=1,,N1i=1,\dots,N-1),ΦN=v+σ\Phi^N = v + \sigma。 代入势能并展开: Φ2=π2+(v+σ)2=π2+v2+2vσ+σ2\Phi^2 = \vec{\pi}^2 + (v+\sigma)^2 = \vec{\pi}^2 + v^2 + 2v\sigma + \sigma^2 V=12μ2(π2+v2+2vσ+σ2)+λ4(π2+v2+2vσ+σ2)2V = -\frac{1}{2}\mu^2 (\vec{\pi}^2 + v^2 + 2v\sigma + \sigma^2) + \frac{\lambda}{4} (\vec{\pi}^2 + v^2 + 2v\sigma + \sigma^2)^2 利用极小值条件 μ2=λv2\mu^2 = \lambda v^2,展开并收集同次幂项:

  • 线性项: (μ2v+λv3)σ=0(-\mu^2 v + \lambda v^3)\sigma = 0 (在极小值处展开,线性项必然消失)。
  • 二次项 (质量项): 对于 π\pi 场:12μ2π2+λ4(2v2π2)=12(μ2+λv2)π2=0-\frac{1}{2}\mu^2 \vec{\pi}^2 + \frac{\lambda}{4}(2v^2 \vec{\pi}^2) = \frac{1}{2}(-\mu^2 + \lambda v^2)\vec{\pi}^2 = 0。故 π\pi 场无质量,mπ=0m_\pi = 0。 对于 σ\sigma 场:12μ2σ2+λ4(2v2σ2+4v2σ2)=12(μ2+3λv2)σ2=12(2λv2)σ2-\frac{1}{2}\mu^2 \sigma^2 + \frac{\lambda}{4}(2v^2 \sigma^2 + 4v^2 \sigma^2) = \frac{1}{2}(-\mu^2 + 3\lambda v^2)\sigma^2 = \frac{1}{2}(2\lambda v^2)\sigma^2。故 mσ2=2λv2=2μ2m_\sigma^2 = 2\lambda v^2 = 2\mu^2
  • 相互作用项: Lint=λvσπ2λvσ3λ4(π2)2λ2π2σ2λ4σ4\mathcal{L}_{\text{int}} = - \lambda v \sigma \vec{\pi}^2 - \lambda v \sigma^3 - \frac{\lambda}{4} (\vec{\pi}^2)^2 - \frac{\lambda}{2} \vec{\pi}^2 \sigma^2 - \frac{\lambda}{4} \sigma^4

由此可读出 Feynman 规则:

  • π\pi 传播子: iδijp2+iϵ\frac{i\delta^{ij}}{p^2 + i\epsilon}
  • σ\sigma 传播子: ip2mσ2+iϵ\frac{i}{p^2 - m_\sigma^2 + i\epsilon}
  • σπiπj\sigma \pi^i \pi^j 顶点: 2iλvδij\boxed{-2i\lambda v \delta^{ij}}
  • σσσ\sigma \sigma \sigma 顶点: 6iλv\boxed{-6i\lambda v}
  • πiπjπkπl\pi^i \pi^j \pi^k \pi^l 顶点: 2iλ(δijδkl+δikδjl+δilδjk)\boxed{-2i\lambda (\delta^{ij}\delta^{kl} + \delta^{ik}\delta^{jl} + \delta^{il}\delta^{jk})}
  • σσπiπj\sigma \sigma \pi^i \pi^j 顶点: 2iλδij\boxed{-2i\lambda \delta^{ij}}
  • σσσσ\sigma \sigma \sigma \sigma 顶点: 6iλ\boxed{-6i\lambda}

(c) π\pi 介子散射振幅

考虑过程 πi(p1)πj(p2)πk(p3)πl(p4)\pi^i(p_1) \pi^j(p_2) \rightarrow \pi^k(p_3) \pi^l(p_4)。在 O(λ)\mathcal{O}(\lambda) 阶,有四个图贡献:s,t,us, t, u 沟道的 σ\sigma 交换图,以及四点接触图。 注意顶点因子中包含 λv\lambda v,而 v2=μ2/λv^2 = \mu^2/\lambda,故 (λv)2λ(\lambda v)^2 \sim \lambda,与接触图同阶。

  1. s-沟道: iMs=(2iλvδij)ismσ2(2iλvδkl)=i4λ2v2smσ2δijδkli\mathcal{M}_s = (-2i\lambda v \delta^{ij}) \frac{i}{s - m_\sigma^2} (-2i\lambda v \delta^{kl}) = -i \frac{4\lambda^2 v^2}{s - m_\sigma^2} \delta^{ij}\delta^{kl} 代入 2λv2=mσ22\lambda v^2 = m_\sigma^2,得 Ms=2λmσ2smσ2δijδkl\mathcal{M}_s = -2\lambda \frac{m_\sigma^2}{s - m_\sigma^2} \delta^{ij}\delta^{kl}
  2. t-沟道u-沟道 同理: Mt=2λmσ2tmσ2δikδjl,Mu=2λmσ2umσ2δilδjk\mathcal{M}_t = -2\lambda \frac{m_\sigma^2}{t - m_\sigma^2} \delta^{ik}\delta^{jl}, \quad \mathcal{M}_u = -2\lambda \frac{m_\sigma^2}{u - m_\sigma^2} \delta^{il}\delta^{jk}
  3. 接触图: M4=2λ(δijδkl+δikδjl+δilδjk)\mathcal{M}_4 = -2\lambda (\delta^{ij}\delta^{kl} + \delta^{ik}\delta^{jl} + \delta^{il}\delta^{jk})

总振幅为: M=2λ[δijδkl(1+mσ2smσ2)+δikδjl(1+mσ2tmσ2)+δilδjk(1+mσ2umσ2)]\mathcal{M} = -2\lambda \left[ \delta^{ij}\delta^{kl} \left( 1 + \frac{m_\sigma^2}{s - m_\sigma^2} \right) + \delta^{ik}\delta^{jl} \left( 1 + \frac{m_\sigma^2}{t - m_\sigma^2} \right) + \delta^{il}\delta^{jk} \left( 1 + \frac{m_\sigma^2}{u - m_\sigma^2} \right) \right] 化简括号内的项 1+mσ2xmσ2=xxmσ21 + \frac{m_\sigma^2}{x - m_\sigma^2} = \frac{x}{x - m_\sigma^2},得到: M=2λ[δijδklssmσ2+δikδjlttmσ2+δilδjkuumσ2]\boxed{ \mathcal{M} = -2\lambda \left[ \delta^{ij}\delta^{kl} \frac{s}{s - m_\sigma^2} + \delta^{ik}\delta^{jl} \frac{t}{t - m_\sigma^2} + \delta^{il}\delta^{jk} \frac{u}{u - m_\sigma^2} \right] }

阈值行为: 在阈值处,pi=0\mathbf{p}_i = 0。由于 π\pi 是无质量的 Goldstone 玻色子,其能量 Ei=pi=0E_i = |\mathbf{p}_i| = 0,因此四动量 pi0p_i \rightarrow 0。 这导致 Mandelstam 变量 s,t,u0s, t, u \rightarrow 0。 代入上式,显然有 M0\boxed{ \mathcal{M} \rightarrow 0 }。这体现了 Goldstone 玻色子的低能定理(Adler zero)。

特殊情况 N=2N=2: 此时只有一种 π\pi 介子,所有指标 i=j=k=l=1i=j=k=l=1,Kronecker delta 均为 1。 M=2λ(ssmσ2+ttmσ2+uumσ2)\mathcal{M} = -2\lambda \left( \frac{s}{s - m_\sigma^2} + \frac{t}{t - m_\sigma^2} + \frac{u}{u - m_\sigma^2} \right) 在低能下 (s,t,umσ2s,t,u \ll m_\sigma^2) 展开到 O(p2)\mathcal{O}(p^2)xxmσ2xmσ2\frac{x}{x - m_\sigma^2} \approx -\frac{x}{m_\sigma^2} M2λmσ2(s+t+u)\mathcal{M} \approx \frac{2\lambda}{m_\sigma^2} (s + t + u) 对于无质量粒子,运动学恒等式为 s+t+u=mi2=0s + t + u = \sum m_i^2 = 0。 因此,O(p2)\mathcal{O}(p^2) 项严格抵消,振幅的领头项为 O(p4)\mathcal{O}(p^4)


(d) 显式对称性破缺

加入破缺项 ΔV=aΦN\Delta V = -a\Phi^N。势能变为: V=12μ2Φ2+λ4(Φ2)2aΦNV = -\frac{1}{2}\mu^2 \Phi^2 + \frac{\lambda}{4} (\Phi^2)^2 - a\Phi^N 设新的真空期望值为 ΦN=v\langle \Phi^N \rangle = v,极小值条件为: Vv=μ2v+λv3a=0    λv2μ2=av\frac{\partial V}{\partial v} = -\mu^2 v + \lambda v^3 - a = 0 \implies \lambda v^2 - \mu^2 = \frac{a}{v} 再次作平移 ΦN=v+σ,Φi=πi\Phi^N = v + \sigma, \Phi^i = \pi^i,展开势能寻找质量项: V12(μ2+λv2)π2+12(μ2+3λv2)σ2V \supset \frac{1}{2} (-\mu^2 + \lambda v^2) \vec{\pi}^2 + \frac{1}{2} (-\mu^2 + 3\lambda v^2) \sigma^2 利用新的极小值条件代换 μ2+λv2=a/v-\mu^2 + \lambda v^2 = a/v,得到 π\pi 介子获得了质量: mπ2=avaλμa\boxed{ m_\pi^2 = \frac{a}{v} \approx \frac{a\sqrt{\lambda}}{\mu} \sim a } σ\sigma 介子的质量变为 mσ2=2λv2+a/v=2λv2+mπ2m_\sigma^2 = 2\lambda v^2 + a/v = 2\lambda v^2 + m_\pi^2

阈值处的散射振幅: 相互作用顶点的形式不变,仍由 λ\lambda 和新的 vv 决定。重新计算 (c) 中的振幅,此时 2λv2=mσ2mπ22\lambda v^2 = m_\sigma^2 - m_\pi^2。 s-沟道图分子变为 4λ2v2=2λ(mσ2mπ2)4\lambda^2 v^2 = 2\lambda(m_\sigma^2 - m_\pi^2)。 总振幅化简为: M=2λ[δijδkl(1+mσ2mπ2smσ2)+]=2λ[δijδklsmπ2smσ2+δikδjltmπ2tmσ2+δilδjkumπ2umσ2]\mathcal{M} = -2\lambda \left[ \delta^{ij}\delta^{kl} \left( 1 + \frac{m_\sigma^2 - m_\pi^2}{s - m_\sigma^2} \right) + \dots \right] = -2\lambda \left[ \delta^{ij}\delta^{kl} \frac{s - m_\pi^2}{s - m_\sigma^2} + \delta^{ik}\delta^{jl} \frac{t - m_\pi^2}{t - m_\sigma^2} + \delta^{il}\delta^{jk} \frac{u - m_\pi^2}{u - m_\sigma^2} \right] 现在 π\pi 有质量,阈值条件为 pi=0    pi=(mπ,0)\mathbf{p}_i = 0 \implies p_i = (m_\pi, \mathbf{0})。 此时 s=(2mπ)2=4mπ2s = (2m_\pi)^2 = 4m_\pi^2,且 t=0,u=0t = 0, u = 0。代入上式: Mthresh=2λ[δijδkl3mπ24mπ2mσ2+δikδjlmπ2mσ2+δilδjkmπ2mσ2]\mathcal{M}_{\text{thresh}} = -2\lambda \left[ \delta^{ij}\delta^{kl} \frac{3m_\pi^2}{4m_\pi^2 - m_\sigma^2} + \delta^{ik}\delta^{jl} \frac{-m_\pi^2}{-m_\sigma^2} + \delta^{il}\delta^{jk} \frac{-m_\pi^2}{-m_\sigma^2} \right] 在小 aa 极限下,mπ2mσ2m_\pi^2 \ll m_\sigma^2,分母 4mπ2mσ2mσ24m_\pi^2 - m_\sigma^2 \approx -m_\sigma^2。保留到 mπ2m_\pi^2 的领头阶: Mthresh2λmπ2mσ2(3δijδklδikδjlδilδjk)\mathcal{M}_{\text{thresh}} \approx \frac{2\lambda m_\pi^2}{m_\sigma^2} \left( 3\delta^{ij}\delta^{kl} - \delta^{ik}\delta^{jl} - \delta^{il}\delta^{jk} \right) 由于 mπ2=a/vm_\pi^2 = a/v,我们得到阈值振幅非零,且正比于破缺参数 aaMthresha\boxed{ \mathcal{M}_{\text{thresh}} \propto a }

4.4

Problem 4.4

peskinChapter 4

习题 4.4

来源: 第4章, PDF第129,130页


4.4 Rutherford scattering. The cross section for scattering of an electron by the Coulomb field of a nucleus can be computed, to lowest order, without quantizing the electromagnetic field. Instead, treat the field as a given, classical potential Aμ(x)A_\mu(x). The interaction Hamiltonian is

HI=d3xeψˉγμψAμ,H_I = \int d^3x \, e\bar{\psi}\gamma^\mu\psi A_\mu,

where ψ(x)\psi(x) is the usual quantized Dirac field.

(a) Show that the TT-matrix element for electron scattering off a localized classical potential is, to lowest order,

piTp=ieuˉ(p)γμu(p)A~μ(pp),\langle p' | iT | p \rangle = -ie \bar{u}(p')\gamma^\mu u(p) \cdot \tilde{A}_\mu(p' - p),

where A~μ(q)\tilde{A}_\mu(q) is the four-dimensional Fourier transform of Aμ(x)A_\mu(x).

(b) If Aμ(x)A_\mu(x) is time independent, its Fourier transform contains a delta function of energy. It is then natural to define

piTpiM(2π)δ(EfEi),\langle p' | iT | p \rangle \equiv i\mathcal{M} \cdot (2\pi)\delta(E_f - E_i),

where EiE_i and EfE_f are the initial and final energies of the particle, and to adopt a new Feynman rule for computing M\mathcal{M}:

费曼图规则公式:顶点图示等于对应的数学表达式 -ieγ^μ A_μ(q)

where A~μ(q)\tilde{A}_\mu(\mathbf{q}) is the three-dimensional Fourier transform of Aμ(x)A_\mu(x). Given this definition of M\mathcal{M}, show that the cross section for scattering off a time-independent,

localized potential is

dσ=1vi12Eid3pf(2π)312EfM(pipf)2(2π)δ(EfEi),d\sigma = \frac{1}{v_i} \frac{1}{2E_i} \frac{d^3 p_f}{(2\pi)^3} \frac{1}{2E_f} |\mathcal{M}(p_i \rightarrow p_f)|^2 (2\pi) \delta(E_f - E_i),

where viv_i is the particle's initial velocity. This formula is a natural modification of (4.79). Integrate over pf|p_f| to find a simple expression for dσ/dΩd\sigma/d\Omega.

(c) Specialize to the case of electron scattering from a Coulomb potential (A0=Ze/4πrA^0 = Ze/4\pi r). Working in the nonrelativistic limit, derive the Rutherford formula,

dσdΩ=α2Z24m2v4sin4(θ/2).\frac{d\sigma}{d\Omega} = \frac{\alpha^2 Z^2}{4m^2 v^4 \sin^4(\theta/2)}.

(With a few calculational tricks from Section 5.1, you will have no difficulty evaluating the general cross section in the relativistic case; see Problem 5.1.)


Referenced Equations:

Equation (4.79):

dσ=12EA2EBvAvB(fd3pf(2π)312Ef)(4.79)d\sigma = \frac{1}{2E_A 2E_B |v_A - v_B|} \left( \prod_f \frac{d^3 p_f}{(2\pi)^3} \frac{1}{2E_f} \right) \tag{4.79}

习题 4.4 - 解答


(a) 推导 TT 矩阵元

在相互作用绘景中,系统的时间演化由 SS 矩阵描述: S=Texp(id4xHI(x))S = \mathcal{T} \exp\left( -i \int d^4x \, \mathcal{H}_I(x) \right) 其中相互作用哈密顿量密度为 HI(x)=eψˉ(x)γμψ(x)Aμ(x)\mathcal{H}_I(x) = e\bar{\psi}(x)\gamma^\mu\psi(x) A_\mu(x)。 保留到最低阶(一阶),SS 矩阵展开为: S1id4xeψˉ(x)γμψ(x)Aμ(x)S \approx 1 - i \int d^4x \, e\bar{\psi}(x)\gamma^\mu\psi(x) A_\mu(x)S=1+iTS = 1 + iT 定义 TT 矩阵,因此最低阶的 iTiT 算符为: iT=id4xeψˉ(x)γμψ(x)Aμ(x)iT = -i \int d^4x \, e\bar{\psi}(x)\gamma^\mu\psi(x) A_\mu(x) 我们需要计算从初态 p|p\rangle 到末态 p|p'\rangle 的跃迁矩阵元 piTp\langle p' | iT | p \rangle。这里 p|p\ranglep|p'\rangle 是单电子态,采用相对论协变归一化 pp=(2π)32Epδ(3)(pp)\langle p' | p \rangle = (2\pi)^3 2E_p \delta^{(3)}(\mathbf{p}' - \mathbf{p})。 将狄拉克场算符 ψ(x)\psi(x)ψˉ(x)\bar{\psi}(x) 展开为平面波: ψ(x)=d3k(2π)32Eks(aksus(k)eikx+bksvs(k)eikx)\psi(x) = \int \frac{d^3k}{(2\pi)^3 \sqrt{2E_k}} \sum_s \left( a_{\mathbf{k}}^s u^s(k) e^{-ik\cdot x} + b_{\mathbf{k}}^{s\dagger} v^s(k) e^{ik\cdot x} \right) 场算符作用于单粒子态给出: ψ(x)p=u(p)eipx0\psi(x) |p\rangle = u(p) e^{-ip\cdot x} |0\rangle pψˉ(x)=0uˉ(p)eipx\langle p' | \bar{\psi}(x) = \langle 0 | \bar{u}(p') e^{ip'\cdot x} 将这些代入矩阵元中: piTp=id4xepψˉ(x)γμψ(x)pAμ(x)\langle p' | iT | p \rangle = -i \int d^4x \, e \langle p' | \bar{\psi}(x)\gamma^\mu\psi(x) | p \rangle A_\mu(x) piTp=ied4xuˉ(p)γμu(p)ei(pp)xAμ(x)\langle p' | iT | p \rangle = -ie \int d^4x \, \bar{u}(p')\gamma^\mu u(p) e^{i(p'-p)\cdot x} A_\mu(x) 将旋量部分提出积分外,并识别出经典势 Aμ(x)A_\mu(x) 的四维傅里叶变换 A~μ(q)=d4xeiqxAμ(x)\tilde{A}_\mu(q) = \int d^4x \, e^{iq\cdot x} A_\mu(x),令 q=ppq = p' - p,即可得到: piTp=ieuˉ(p)γμu(p)A~μ(pp)\langle p' | iT | p \rangle = -ie \bar{u}(p')\gamma^\mu u(p) \tilde{A}_\mu(p' - p)

(b) 推导与时间无关势的散射截面

如果 Aμ(x)A_\mu(x) 与时间无关,即 Aμ(x)=Aμ(x)A_\mu(x) = A_\mu(\mathbf{x}),其四维傅里叶变换可以分离出能量的狄拉克 δ\delta 函数: A~μ(pp)=dtei(EpEp)td3xei(pp)xAμ(x)=2πδ(EpEp)A~μ(pp)\tilde{A}_\mu(p' - p) = \int dt \, e^{i(E_{p'} - E_p)t} \int d^3x \, e^{-i(\mathbf{p}' - \mathbf{p})\cdot\mathbf{x}} A_\mu(\mathbf{x}) = 2\pi \delta(E_{p'} - E_p) \tilde{A}_\mu(\mathbf{p}' - \mathbf{p}) 其中 A~μ(q)\tilde{A}_\mu(\mathbf{q}) 是三维傅里叶变换。代入 (a) 的结果中: piTp=ieuˉ(p)γμu(p)A~μ(pp)2πδ(EpEp)\langle p' | iT | p \rangle = -ie \bar{u}(p')\gamma^\mu u(p) \tilde{A}_\mu(\mathbf{p}' - \mathbf{p}) 2\pi \delta(E_{p'} - E_p) 根据定义 piTpiM(2π)δ(EfEi)\langle p' | iT | p \rangle \equiv i\mathcal{M} \cdot (2\pi)\delta(E_f - E_i),可提取出不变矩阵元: M=euˉ(p)γμu(p)A~μ(q)\mathcal{M} = -e \bar{u}(p')\gamma^\mu u(p) \tilde{A}_\mu(\mathbf{q}) 这正是题目中给出的费曼规则。

接下来推导截面公式。考虑归一化体积 VV 中的波包,初末态的归一化因子分别为 1/2EiV1/\sqrt{2E_i V}1/2EfV1/\sqrt{2E_f V}。跃迁概率为: P=piTp2(2EiV)(2EfV)=M2[2πδ(EfEi)]24EiEfV2P = \frac{|\langle p' | iT | p \rangle|^2}{(2E_i V)(2E_f V)} = \frac{|\mathcal{M}|^2 [2\pi \delta(E_f - E_i)]^2}{4 E_i E_f V^2} 利用 [2πδ(E)]2=2πδ(E)T[2\pi \delta(E)]^2 = 2\pi \delta(E) \cdot TTT 为相互作用总时间),单位时间的跃迁速率为: w=PT=M22πδ(EfEi)4EiEfV2w = \frac{P}{T} = \frac{|\mathcal{M}|^2 2\pi \delta(E_f - E_i)}{4 E_i E_f V^2} 末态相空间密度为 Vd3pf(2π)3\frac{V d^3p_f}{(2\pi)^3},入射粒子流强为 J=viVJ = \frac{v_i}{V}。微分散射截面 dσd\sigma 定义为跃迁速率乘以相空间密度再除以入射流强: dσ=wVd3pf(2π)3J=M22πδ(EfEi)4EiEfV2Vd3pf(2π)3viVd\sigma = \frac{w \cdot \frac{V d^3p_f}{(2\pi)^3}}{J} = \frac{\frac{|\mathcal{M}|^2 2\pi \delta(E_f - E_i)}{4 E_i E_f V^2} \frac{V d^3p_f}{(2\pi)^3}}{\frac{v_i}{V}} 化简后即得题目要求的公式: dσ=1vi12Eid3pf(2π)312EfM(pipf)2(2π)δ(EfEi)d\sigma = \frac{1}{v_i} \frac{1}{2E_i} \frac{d^3 p_f}{(2\pi)^3} \frac{1}{2E_f} |\mathcal{M}(p_i \rightarrow p_f)|^2 (2\pi) \delta(E_f - E_i)

为了得到 dσ/dΩd\sigma/d\Omega,我们需要对 pf|p_f| 进行积分。在球坐标下 d3pf=pf2dpfdΩd^3p_f = p_f^2 dp_f d\Omega。利用关系式 Ef2=pf2+m2E_f^2 = p_f^2 + m^2,微分得 EfdEf=pfdpfE_f dE_f = p_f dp_f,因此 d3pf=pfEfdEfdΩd^3p_f = p_f E_f dE_f d\Omega。代入截面公式: dσ=1vi2EipfEfdEfdΩ(2π)32EfM22πδ(EfEi)=1vi2EipfdEfdΩ8π2M2δ(EfEi)d\sigma = \frac{1}{v_i 2E_i} \frac{p_f E_f dE_f d\Omega}{(2\pi)^3 2E_f} |\mathcal{M}|^2 2\pi \delta(E_f - E_i) = \frac{1}{v_i 2E_i} \frac{p_f dE_f d\Omega}{8\pi^2} |\mathcal{M}|^2 \delta(E_f - E_i)EfE_f 积分,δ\delta 函数使得 Ef=EiE_f = E_i,从而 pf=pipp_f = p_i \equiv pvf=vivv_f = v_i \equiv v。由于 v=p/Eiv = p/E_i,有 viEi=pv_i E_i = pdσdΩ=12(viEi)p8π2M2=12pp8π2M2=M216π2\frac{d\sigma}{d\Omega} = \frac{1}{2(v_i E_i)} \frac{p}{8\pi^2} |\mathcal{M}|^2 = \frac{1}{2p} \frac{p}{8\pi^2} |\mathcal{M}|^2 = \frac{|\mathcal{M}|^2}{16\pi^2}

(c) 非相对论极限下的卢瑟福散射公式

对于库仑势 A0(x)=Ze4πrA^0(x) = \frac{Ze}{4\pi r}A(x)=0\mathbf{A}(x) = 0。其三维傅里叶变换为: A~0(q)=d3xeiqxZe4πr=Zeq2\tilde{A}^0(\mathbf{q}) = \int d^3x \, e^{-i\mathbf{q}\cdot\mathbf{x}} \frac{Ze}{4\pi r} = \frac{Ze}{\mathbf{q}^2} 代入矩阵元表达式: M=euˉ(p)γ0u(p)A~0(q)=Ze2q2u(p)u(p)\mathcal{M} = -e \bar{u}(p')\gamma^0 u(p) \tilde{A}^0(\mathbf{q}) = -\frac{Ze^2}{\mathbf{q}^2} u^\dagger(p') u(p) 对于非极化散射,我们需要对初态自旋求平均并对末态自旋求和: 12s,sM2=12(Ze2q2)2s,sus(p)us(p)2\frac{1}{2} \sum_{s,s'} |\mathcal{M}|^2 = \frac{1}{2} \left( \frac{Ze^2}{\mathbf{q}^2} \right)^2 \sum_{s,s'} |u^{s'\dagger}(p') u^s(p)|^2 利用自旋求和公式 sus(p)uˉs(p)=+m\sum_s u^s(p)\bar{u}^s(p) = \not{p} + m,计算迹: s,sus(p)us(p)2=Tr[γ0(+m)γ0(̸p+m)]=Tr[(Eγ0+pγ+m)(Eγ0pγ+m)]\sum_{s,s'} |u^{s'\dagger}(p') u^s(p)|^2 = \text{Tr}[\gamma^0 (\not{p} + m) \gamma^0 (\not{p}' + m)] = \text{Tr}[(E\gamma^0 + \mathbf{p}\cdot\boldsymbol{\gamma} + m)(E\gamma^0 - \mathbf{p}'\cdot\boldsymbol{\gamma} + m)] =4E2+4pp+4m2= 4E^2 + 4\mathbf{p}\cdot\mathbf{p}' + 4m^2 在非相对论极限下,v1v \ll 1,动量 pmp \ll m,能量 EmE \approx m。保留到最低阶,迹的结果近似为 4m2+0+4m2=8m24m^2 + 0 + 4m^2 = 8m^2。因此: 12s,sM212(Ze2q2)2(8m2)=4m2Z2e4q4\frac{1}{2} \sum_{s,s'} |\mathcal{M}|^2 \approx \frac{1}{2} \left( \frac{Ze^2}{\mathbf{q}^2} \right)^2 (8m^2) = \frac{4m^2 Z^2 e^4}{\mathbf{q}^4} 弹性散射中 p=p=p=mv|\mathbf{p}'| = |\mathbf{p}| = p = mv,动量转移的平方为: q2=(pp)2=2p2(1cosθ)=4p2sin2(θ/2)=4m2v2sin2(θ/2)\mathbf{q}^2 = (\mathbf{p}' - \mathbf{p})^2 = 2p^2(1 - \cos\theta) = 4p^2 \sin^2(\theta/2) = 4m^2 v^2 \sin^2(\theta/2) 将其代入微分散射截面公式 dσdΩ=M216π2\frac{d\sigma}{d\Omega} = \frac{|\mathcal{M}|^2}{16\pi^2} 中: dσdΩ=116π24m2Z2e4[4m2v2sin2(θ/2)]2=4m2Z2e416π216m4v4sin4(θ/2)=Z2e464π2m2v4sin4(θ/2)\frac{d\sigma}{d\Omega} = \frac{1}{16\pi^2} \frac{4m^2 Z^2 e^4}{[4m^2 v^2 \sin^2(\theta/2)]^2} = \frac{4m^2 Z^2 e^4}{16\pi^2 \cdot 16m^4 v^4 \sin^4(\theta/2)} = \frac{Z^2 e^4}{64\pi^2 m^2 v^4 \sin^4(\theta/2)} 引入精细结构常数 α=e24π\alpha = \frac{e^2}{4\pi},即 e4=16π2α2e^4 = 16\pi^2 \alpha^2,代入上式化简得到最终的卢瑟福散射公式: dσdΩ=α2Z24m2v4sin4(θ/2)\boxed{ \frac{d\sigma}{d\Omega} = \frac{\alpha^2 Z^2}{4m^2 v^4 \sin^4(\theta/2)} }